Treating All the Symptoms of IBS-C: Linaclotide Significantly Decreases Abdominal Pain, Bloating, and Discomfort
Jill Deutsch, MD1 and Philip Schoenfeld, MD, MSEd, MSc(Epi)2

1Assistant Professor, Director, Yale Functional Gastrointestinal Disorders Program, Division of Digestive Diseases, Yale School of Medicine, New Haven, CT
2Chief Emeritus-Gastroenterology Section, John D. Dingell VA Medical Center, Detroit, MI
This article reviews Chang L, Lacy BE, Moshiree B, et al. Efficacy of Linaclotide in Reducing Abdominal Symptoms of Bloating, Discomfort, and Pain: A Phase 3B Trial Using a Novel Abdominal Scoring System. Am J Gastroenterol 2021; 116: 1929-37. doi.org/10.14309/ajg.0000000000001334
Philip Schoenfeld, MD, MSEd, MSc(Epi), Editor-in-Chief. Email: EBGI@gi.org
Read the article in the American Journal of Gastroenterology
STRUCTURED ABSTRACT
Question: Is linaclotide superior to placebo in irritable bowel syndrome with constipation (IBS-C) patients for reducing abdominal symptoms (bloating, discomfort, and pain) using a new patient-reported outcome tool: Diary for IBS Symptoms-Constipation (DIBSS-C)?
Design: Multicenter, double-blind, placebo-controlled randomized controlled trial (RCT).
Setting: Seventy-eight United States centers.
Patients: Included 614 outpatients meeting Rome III IBS-C criteria, with the following criteria in the 2 weeks prior to randomization: average daily abdominal pain >3 on 11-point numerical rating scale with 0= none and 10=worst possible; <10 spontaneous bowel movements (SBMs); and <6 complete spontaneous bowel movements (CSBM) with sense of complete evacuation.
Interventions/Exposure: Regimen of 290ucg linaclotide daily vs identical placebo for 12 weeks followed by 4-week randomized withdrawal period. All placebo-treated patients switched to linaclotide during withdrawal period and linaclotide-treated patients were re-randomized to linaclotide or placebo for duration of withdrawal period.
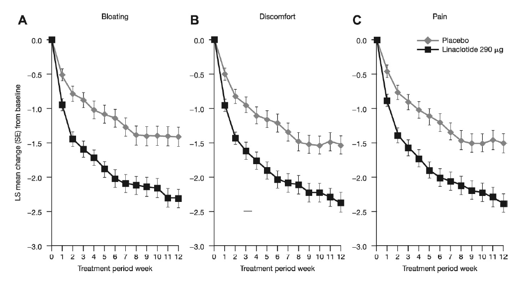
Outcome: The primary endpoint was change from baseline in weekly abdominal score (AS) derived from DIBSS-C questionnaire throughout the 12-week treatment period. Weekly AS was calculated by averaging daily AS in a given week. Daily AS was calculated by averaging daily assessment of bloating, abdominal discomfort, and abdominal pain, which were each rated on a 0-10 scale on a daily basis. Two secondary endpoints included the change from baseline based on the average of daily AS from the 12-week period assessed with a cumulative distribution function and proportion of >6/12 week responders, defined as individuals who had 2-point reduction from baseline in weekly AS for >6 of 12 week study period. Change from baseline for each abdominal score symptom (bloating, abdominal discomfort, and abdominal pain) was also reported individually.
Data Analysis: For the primary efficacy endpoint, a mixed model with repeated measures (MMRM) framework was used to account for multiple variables. For >6/12 week responders, linaclotide-treated patients were compared to placebo-treated patients using a Cochran-Mantel-Haenszel test controlling for geographic region.
Funding: Ironwood Pharmaceuticals and AbbVie Pharmaceuticals.
Results: 614 IBS-C patients were randomized and received at least 1 dose of medication (mean age: 46 years old; 81% female; 63% White; Baseline Symptoms: Abdominal Score = 6.4 on 0-10 scale; 0.26 CSBMs/week; 1.6-1.7 SBMs/week). Approximately, 92% of patients completed entire 12-weeks of treatment. Overall AS reduction was greater with linaclotide vs placebo (-1.9 vs -1.2, p < 0.0001) as well as for reduction in individual symptoms of bloating, abdominal discomfort, and abdominal pain (Table 1, Figure 1). Linaclotide-treated patients were more likely to be >6/12 week responders compared to placebo-treated patients: 40.5%vs 23.4% (OR = 2.2, 95% CI: 1.55-3.12, p< 0.0001). In the randomized withdrawal period, patients who switched from linaclotide to placebo had a diminished treatment response without suffering from rebound worsening of symptoms. Discontinuation of study medication due to diarrhea occurred in 1.6% of linaclotide-treated IBS-C patients vs none in the placebo group.
Table 1. Change from Baseline in Abdominal Score Symptoms Based on 11-Point Likert Scale with 0=None and 10=Worst Possible

Figure 1. Reduction in bloating, abdominal discomfort, and abdominal pain during 12-week treatment period.

Figure reproduced from the AJG article under CCBY-ND license.
COMMENTARY
Why Is This Important?
Optimal treatment of IBS-C requires improvement in abdominal discomfort symptoms as well as improvement in constipation symptoms. The recent American College of Gastroenterology (ACG) Guideline on Management of IBS1 suggests against using polyethylene-glycol products (e.g., MiraLax®) to relieve global IBS symptoms in IBS-C since RCTs report no significant
differences versus placebo for improvement in abdominal discomfort symptoms. Having said that, many practitioners may still prefer to start IBS-C treatment with an osmotic laxative. We typically inquire about over-the-counter medication use carefully with these patients as the majority have already tried these and failed to get adequate relief, which drives them to seek out medical care.2
In the ACG Guideline, guanylate cyclase-C agonists, which include linaclotide (Linzess®) and plecanatide (Trulance®), are the only IBS-C treatments that are strongly recommended based on high quality evidence from RCTs. In those RCTs, a combined responder endpoint of CSBM increase and 30% decrease in abdominal discomfort from baseline for > 6/12 weeks defined a responder. Nevertheless, there is limited data using patient-reported outcomes that quantifies decreases in separate abdominal symptom domains, such as bloating and abdominal pain. This focus is important since abdominal symptoms often drive IBS severity and healthcare utilization.
Key Study Findings
Linaclotide is clearly superior to placebo for improvement in abdominal discomfort, and this holds for bloating as well as abdominal pain. Linaclotidetreated patients were more likely to be > 6/12 week responders compared to placebo-treated patient (40.5% vs 23.4%; OR 2.2, 95% CI: 1.55-3.12, P <0.0001). This is substantial improvement vs placebo, but it’s also a reminder that many IBS-C patients may not improve with prescription strength medications alone. For those patients, complementary and alternative approaches such as peppermint oil, neuromodulators, low FODMAP diets, and other similar therapies may be helpful.
Caution
The patient-reported outcomes (PROs) currently favored by the FDA are quite complicated to define, so it’s difficult to properly educate patients about how much improvement in abdominal discomfort is likely. Both linaclotide and plecanatide are guanylate cyclase-c agonists. Plecanatide may produce similar improvement in abdominal symptoms, but plecanatide RCTs assessing this are still needed. Although diarrhea is the most commonly reported side effect withlinaclotide, only 4.6% of linaclotide-treated patients reported diarrhea and only 1.6% discontinued linaclotide-treated patients discontinued treatment due to diarrhea, which is lower numerically than in previously reported RCTs.
My practice
Both authors have very similar practices. Guanylate cyclase-C agonists are the cornerstone of our treatment for IBS-C. Consistent with the study findings, we emphasize to patients that it may take 8-12 weeks to achieve optimal decrease in abdominal discomfort symptoms, and we encourage our patients to continue treatment even if there is only mild improvement in the first 1-2 weeks.
Furthermore, we try to set appropriate expectations: success means decrease in frequency of abdominal discomfort and decrease in severity of symptoms when they do occur. Near-total resolution of symptoms is not the expected goal, although it does happen for some patients. We proactively educate our patients that loose stools may occur in the first week of treatment. Since we both treat more severe IBS-C patients, we frequently combine therapies. This includes using peppermint oil capsules as an on-demand or daily anti-spasmodic treatment. We avoid using anticholinergic agents, like dicyclomine (Bentyl®), which could worsen constipation and has not demonstrated significant reductions in abdominal pain vs placebo. These practices are also consistent with the ACG Guideline recommendations. If bloating is a predominant symptom, we advise low FODMAP diets, but try to do this in coordination with a dietitian. We frequently use neuromodulators as additional treatment for abdominal discomfort and to manage brain-gut dysfunction as a cause of IBS symptoms. Our preferred agent is duloxetine (Cymbalta®), which is FDA-approved for neuropathic pain, but it’s important to note that there are no well-designed, large RCTs of duloxetine in IBS-C patients. Many patients benefit from complementary therapies, including referral for cognitive behavioral therapy with a specialized psychologist, yoga, relaxation techniques and guided breathing exercises; these are frequently offered at academic medical centers that have multi-disciplinary teams.
For Future Research
There is no RCT data about the efficacy of combination therapy (e.g., linaclotide plus neuromodulator) and there is minimal research comparing guanylate cyclase-c agonists versus an active comparator, such as psyllium. From a practical perspective, it would be helpful to understand the impact of different doses of linaclotide on abdominal discomfort since we frequently decrease the dose of linaclotide if a patient complains of diarrhea.
Conflicts of Interest
P. Schoenfeld reports serving on advisory boards, consultant and speakers bureau for Ironwood Pharmaceuticals, AbbVie Pharmaceuticals, and Salix Pharmaceuticals, and serving as an advisory board member for Takeda Pharmaceuticals, Ardelyx Pharmaceuticals, and Phathom Pharmaceuticals. J. Deutsch has no reported disclosures.
REFERENCES
- Lacy BE, Pimentel M, Brenner D, et al. ACG Clinical Guideline: Management of Irritable Bowel Syndrome. Am J Gastroenterol 2021; 116: 17-44.
- Heidelbaugh JJ, Stelwagon M, Miler SA, et al. The spectrum of constipationpredominant IBS and chronic idiopathic constipation: US survey assessing symptoms, care seeking, and disease burden. Am J Gastroenterol 2015; 110: 580-87.