Can Dupilumab Transform Health-Related Quality of Life and Symptoms for Patients With Eosinophilic Esophagitis?
Christopher Vélez, MD1 and Noor Syed, MD2
1Associate Program Director, Advanced Fellowship in Functional and Gastrointestinal Motility Disorders, Center for Neurointestinal Health, Division of Gastroenterology, Massachusetts General Hospital, Harvard Medical School, Boston, MA
2Gastroenterology Fellow, Division of Gastroenterology and Hepatology, University of Michigan, Ann Arbor, MI
This summary reviews Spergel JM, Chehade M, Dellon ES, et al. Dupilumab improves health-related quality of life and a range of symptoms in patients with eosinophilic esophagitis. Am J Gastroenterol 2024;119(12):2398-2407.
Read the article in The American Journal of Gastroenterology
Correspondence to Christopher Velez, MD. Associate Editor. Email: EBGI@gi.org
Keywords: Eosinophilic esophagitis, dupilumab, dietary elimination, health related quality of life
STRUCTURED ABSTRACTQuestion: Among adults and adolescents with eosinophilic esophagitis (EoE), is dupilumab superior to placebo for improving health-related quality of life, reducing dysphagia, and decreasing the frequency and severity of EoE symptoms?
Design: Double-blind, placebo-controlled, randomized controlled trial which lasted for 24 weeks.
Setting: Ninety-six centers across Australia, Canada, Europe, and the United States.
Patients: The LIBERTY EoE TREET study tested use dupilumab in patients >12 years old with a confirmed EoE diagnosis based on >15 eosinophils per high power field (hpf) after 8 weeks of high-dose PPI therapy and a Dysphagia Symptom Questionnaire (DSQ) biweekly total score of ≥10. Patients were stratified by age (adolescent [>12 years and < 18 years old] vs adults [>18 years old]) and current use of proton pump inhibitors (PPIs). Study patients taking PPIs or on an elimination diet could continue these interventions but could not start either upon study entry.
Interventions: Patients were randomized into 2 parts; Part A: 1:1 ratio to receive either placebo or dupilumab 300 mg weekly and Part B: 1:1:1 ratio to receive placebo, dupilumab 300 mg weekly, or dupilumab 300 mg every 2 weeks.
Outcomes: The primary outcome was the EoE Symptom Questionnaire (EoE-SQ), which assessed the frequency and severity of non-dysphagia symptoms like abdominal pain, bloating, and vomiting, in addition to dysphagia. Secondary outcomes included: (1) the EoE Impact Questionnaire (EoE-IQ), which focused on emotional and sleep disturbances; (2) the Patient Global Impression of Change (PGIC), which gauged patients’ perceptions of changes in dysphagia symptoms; and (3) the Patient Global Impression of Severity (PGIS) of Dysphagia, which assessed dysphagia severity during study visits.
Data Analysis: Analyses were performed on an intention-to-treat (ITT) basis using ANCOVA to compare baseline measurements, stratifying by age (≥12 to <18 years and ≥18 years) and PPI use (yes/no) at randomization. Patients requiring rescue treatment had their values censored to avoid bias in the results.
Funding: Sanofi and Regeneron Pharmaceuticals, Inc, the makers of dupilumab.
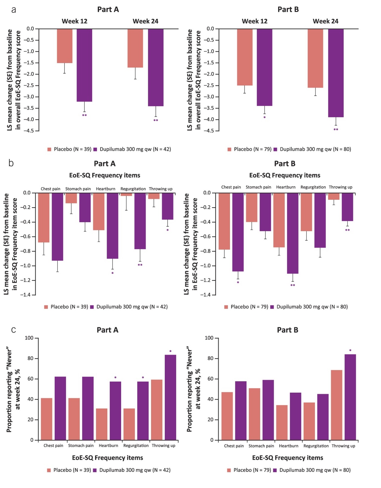
Results: Dupilumab significantly reduced the frequency and severity of non-dysphagia symptoms (e.g., chest pain, stomach pain, heartburn, regurgitation, vomiting) as measured by the EoE-SQ, with improvements seen as early as week 12 and more pronounced by week 24. The absolute change from baseline to week 24 in EoE-SQ severity exceeded the minimal clinically important difference (MCID) of 5.3 points (LS mean change [SE]: −5.8 [0.71], −5.4 [0.59] for parts A and B, respectively).
Dupilumab also significantly improved HRQoL as measured by the EoE-IQ at week 24, with meaningful reductions in emotional and sleep disturbances. Patients on dupilumab reported less worry about swallowing and choking, and less sleep disruption compared to placebo.
A higher proportion of dupilumab-treated patients reported improvement in dysphagia (PGIC) at week 24, with notably more patients feeling “Very much better” (41% vs 8%, P < 0.001, and 44% vs 18%, P < 0.001, in parts A and B). Additionally, dupilumab reduced dysphagia severity (PGIS), with more patients reporting no symptoms at week 24 compared to placebo (48% vs 21%, P < 0.05, and 36% vs 15%, P < 0.01, in parts A and B).
Common adverse events (e.g., injection-site reactions, conjunctivitis, headaches) were mild to moderate and did not lead to significant treatment discontinuations (2.8% in the dupilumab group vs 2.0% in placebo). The safety profile was similar to placebo, with adverse events consistent with previous dupilumab trials.
Figure 1. Change from baseline in overall EoE-SQ Frequency score at weeks 12 and 24 (a), individual frequency items of the EoE-SQ at week 24 (b), and proportion of patients reporting never having symptoms assessed by the EoE-SQ at week 24 (c). Note: For proportion of patients reporting never having symptoms, values after first rescue treatment used were set to missing (censoring). Patients with missing score at week 24 are considered as being in the worst possible category (i.e., not included in the “Never” category). *Nominal P ≤ 0.05, **nominal P ≤ 0.01 dupilumab vs placebo. EoE-SQ, eosinophilic esophagitis Symptom Questionnaire; LS, least squares; qw, once weekly.
COMMENTARY
Why Is This Important?
Dupilumab is a monoclonal antibody that has long been used to treat various allergic diseases, including atopic dermatitis, asthma, and chronic rhinosinusitis with nasal polyposis.2 Recently, it received approval from the U.S. Food and Drug Administration (FDA) for the treatment of EoE.3 While previous studies have demonstrated the safety and efficacy of dupilumab,4 this study is the first to examine its direct impact on improving HRQoL, specifically emotional and social aspects, in patients with EoE. There is a strong correlation between symptom improvement and HRQoL measures, highlighting how changes in subjective symptoms are closely tied to patients’ overall health perceptions. This finding positions dupilumab as a potentially transformative treatment for EoE, offering benefits that extend beyond just symptom management. The study further underscores the importance of considering both symptom reduction and HRQoL when managing chronic conditions like EoE.
Key Study Findings
Dupilumab significantly reduced the frequency and severity of non-dysphagia symptoms (e.g., chest pain, stomach pain, heartburn, regurgitation, and vomiting) as measured by the EoE-SQ, compared to placebo. At week 24, clinically meaningful reductions were also observed in both emotional and sleep disturbance scores (EoE-IQ). Additionally, more patients on dupilumab reported improvement in their dysphagia symptoms (PGIC) and experienced a reduction in dysphagia severity (PGIS).
Caution
Assessing patient reported outcome measure response for dupilumab, as a newer treatment for EoE, is reasonable. Analogous to other inflammatory conditions of the luminal gastrointestinal tract, there are multiple domains to assess treatment efficacy: endoscopic improvement, reduced inflammation on biopsy, and clinical symptom improvement. The main caution that I have in interpreting this study is that the comparison was performed between people getting placebo vs dupilumab. Realistically speaking, the average gastroenterologist is not going to compare dupilumab efficacy against a lack of EoE treatment; it would need to be compared against dietary modification, swallowed steroid, or PPI. A similarly designed study would involve comparison of dupilumab with these other EoE interventions.
My Practice
This trial offers a new dimension by which to consider any EoE therapy administration, a patient’s perception of dysphagia symptoms. As gastroenterologists, we naturally pay attention first to the elimination of eosinophils from mucosal specimens on high powered microscopy. In some respects, this is too narrow a focus. Understanding how the patient’s symptoms, impression of dysphagia, and symptom frequency evolves with treatment is key to ensuring long term adherence. It can also be the first marker before endoscopy for a need to consider worsening EoE-related control.
Let’s use the most restrictive example of EoE treatment – a dietary elimination diet. Patients desiring EoE management without medications can be faced with the possibility of needing to spend the rest of their lives avoiding at every meal encounter a host of pleasurable foods in order to keep uncontrolled EoE at bay. Perhaps after the first emergency department visit for food impaction (at which time, I would like to remind trainee readers/listeners that a biopsy should almost always be performed to reduce a delay in EoE diagnosis), one may be motivated out of fear to be faithfully adherent to such a a treatment path. Will one want to continue doing that for 1-year out from the impaction? 10-years out? Will clinicians assume permanent adherence on the part of a patient?
This study would encourage me to consider using patient reported outcome measures serially over the time I spend caring for patients with EoE, to track progress and encourage adherence. To date, I must admit that I have generally focused on whether the last gastroscopy had resolution of eosinophils on biopsy specimens. After reviewing this study, if I notice increased symptom burden or worsened impressions of dysphagia, this may prompt me to consider expedited gastroscopy to repeat tissue sampling and adopt serial patient reported outcome measurement. Alternatively, if someone is becoming increasingly frustrated with having to modify diet, swallow steroids, or take proton pump inhibitors, one can show a favorable trend in measures to help promote treatment adherence.
Unfortunately, given commercial and public insurance formulary vagaries, my practice would not alter based on this study towards earlier adoption of dupilumab as a treatment for EoE (with exceptions possibly for concomitant atopy, eczema, and/or asthma).
For Future Research
While it would be impossible to blind the following study, it would be of interest to compare changes in patient reported scores and disease perception in patients receiving dupilumab compared to other EoE interventions. EoE management options can be so drastically different—diet, steroid, acid suppression, or monoclonal antibody therapy. Some people find dietary modification to be too challenging, are perhaps (too inappropriately) worried about largely theoretical long term acid suppression risk or infection/bone density risk with steroids or would find injections troublesome. If one agent showed the clearest improvement in scores or symptom perception, that may alter the practice of EoE management in the years to come.
Conflict of Interest
The authors have no reported conflicts of interest.
REFERENCES
- Spergel JM, Chehade M, Dellon ES, et al. Dupilumab improves health-related quality of life and a range of symptoms in patients with eosinophilic esophagitis. Am J Gastroenterol 2024;119(12):2398-2407.
- Castro M, Corren J, Pavord ID, et al. (2018). Dupilumab Efficacy and Safety in Moderate-to-Severe Uncontrolled Asthma. N Engl J Med. 2018;378(26):2486-2496.
- Al-Horani RA, Chiles R. First therapeutic approval for eosinophilic esophagitis. Gastroenterol insights. 2022;13(3):238-244.
- Dellon ES, Rothenberg ME, Collins MH, et al. Dupilumab in adults and adolescents with eosinophilic esophagitis. N Engl J Med. 2022;387(25):2317-2330.
